Great Start, Unlucky Finish
The Team MCD

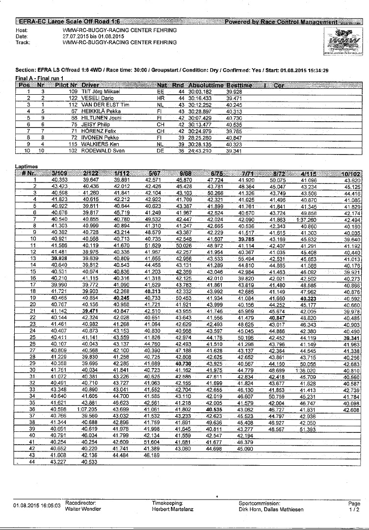
 The fourth European Championship was held consecutively 2.nd time in Fehring Austria. MCD Driver Dario Veseli finished 2nd even though he lead the race for 26 minutes.
 The event started on the 27th of July Monday with free practice session. Rain, wet and muddy track conditions didn’t allow the drivers setting up the cars due to constantly changing tough conditions. The free practice continued for 2 days.
 On Wednesday  the controlled practices started and drivers continued to look for the optimum set-up and tires. On Thursday the conditions got better, the track dried and the racers could finally managed to find the correct set-up for the track.
 The qualifications and lower finals started on Friday and on Saturday the semi finals were made. The fierce competition left some of MCD's favorite drivers out of the final such as Marc Kreisig, Steve Haynes, Ozgur Derin, Valentin Peuzat, Alain Sarafyan and Dirk Kellermann. Even so 7 cars out of 10 were MCD RR5 at the finals.
 Dario Veseli started the final in the 2nd position and  became leader on the first lap. He lead the race for 24 minutes, unfortunately he had to pit-stop due to his ripped rear right tire and lost his position to the second driver Miikael Jörg Tiit. Our young and talented drivers Sven Rodewald and Pekko Iivonen did great job by reaching to the final. Sven started 10th and managed to reach to the 2nd position.  Unfortunately he hit his rear left wishbone to a pavement rock and left the race on the 26th minute.
 Overall it was a great race for MCD,  the latest optional alloy parts worked as planned. The cars were more stable and they allowed the limits to be pushed further. The lightened tires worked quite well by improving the acceleration. Our new air box intake silencer also worked quite well and reduced the noise below the EFRA limits.
 We would like to thank again to all MCD Drivers and the Teams Trottman, RC Fox,Hobby Center and Elfving Racing for their racing spirit. They put an enormous effort for the success.

The Final Standings:

1-Jörg Miikael Tiit - FG
2-Dario Veseli  -  MCD RR5
3-Tim Van Der Elst - Elcon
4-Pekka Heikkila - MCD  RR5
5-Jouni Hiltunen - MCD  RR5
6-Philip Jeisy - MCD  RR5
7-Felix Hörenz - MCD  RR5
8-Pekko Iivonen – MCD RR5
9-Ken Walkiers - Elcon
10-Sven Rodewald – MCD RR5

 
           
           
           
           
           
           
<<prev   next>>